|
Some
Interesting and |
![]() |
|
Can you find the hidden mountain lion? |
Here's a useful little diagram for the physical science of transverse waves... |
|
|
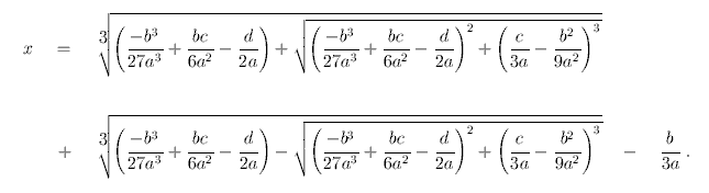
Every school kid knows the quadratic
formula, |
![]() When they say 9/10 of an iceberg is under water, they're not joking... |
|
![]() Amazing, huh? |
||
![]() Here are four views of man-made flying saucer designs...Searl's I think... |
![]() Which way does the wheel turn? ![]() A different kind of family tree... |
|
![]() |
||
| See how many famous people you can identify? |
||
|
Have you ever seen a fire rainbow? |
These are two of my fractal posters still sold at stores like Spencer's Gifts... |
![]() |
![]() A dog nearly as big as a horse? This mastiff is close... |
![]() A friend of mine is a professional guitarist...these are his "kids"... |
|
![]() Yours truly in action...AP Calc...2008...Sun Valley, CA... |
![]() Say what?! |
|
Home / Schedule / Academics / Standards / Special / Links